AMP590033H-T 桌上型放大器
高穩定性 × 抗反射設計,專為寬頻 RF 放大任務打造
AMP590033H-T 為 Becker 推出的桌上型小型化寬頻放大器,採用標準 50 Ohm 系統架構設計,特別適用於實驗室、研發測試與系統整合應用環境;此機種具備堅固耐用的電氣與機構設計,內部放大模組以 CNC 銑削鋁合金外殼包覆,提供完整電磁干擾屏蔽,可有效阻絕來自外部之射頻干擾;整體機殼採用鋁合金材質,具備良好結構強度與導熱效率,有助於長時間穩定運行與熱管理。
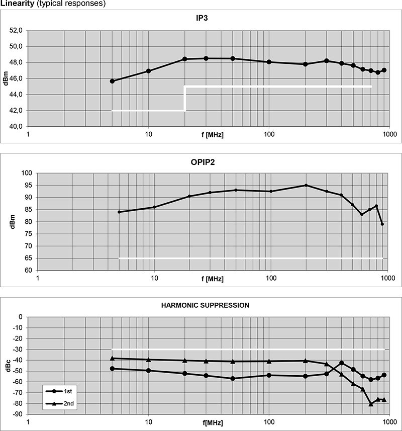
此放大器可在涵蓋 5~900 MHz 的寬頻多倍頻段範圍內穩定運作,適用於 VHF/UHF 頻段、ISM 應用、RF 系統模擬以及數位調變訊號放大等多元應用場景;內部採用推挽式(Push Pull)寬頻放大架構,具備高線性度、高功率效率與低熱耗特性,有效提升整體放大性能與穩定性;支援 +34 dBm 輸出功率與 +49 dBm OIP3(第三階互調截點)性能,即使在處理微弱訊號與強訊號混合輸入時,仍可維持低失真放大效果。
輸入端整合高通濾波器(High Pass Filter),可有效抑制 VLF 與 HF 雜訊干擾,提高訊號純淨度與測試準確性;輸出端具備開路與短路容忍設計,即使負載不匹配亦可維持穩定輸出,顯著提升系統整體可靠性與操作容錯能力。
支援寬範圍 AC 市電供應,無需額外直流電源轉換,簡化架設與操作流程;前面板配置LED 電源指示燈,可即時顯示供電狀態;底部設置安裝腳座,便於固定於實驗平台,亦適用於桌上型量測環境或機架式系統整合,提供高彈性、高穩定性的 RF 放大解決方案。
產品特點
- 輸出功率:+34 dBm(典型值)
- 高 OIP3(第三階互調截點):+49 dBm(典型值)
- 內建超低頻抑制濾波器(VLF Suppression Filter),可有效過濾 VLF/HF 雜訊
- 輸出端穩定性高,具備開路 / 短路保護
- AC 市電供電,不需額外直流電源
應用場景
- VHF/UHF 發射機驅動
- 功率放大器前級放大(PA Driver)
- ISM 頻段應用(工業、科學、醫療)
- 實驗室量測與測試設備
- RF 系統模擬與開發測試平台

Push Pull 架構技術
AMP590033H-T 採用推挽式(Push Pull)放大器架構設計,使其在高頻寬操作下仍具極高線性度與穩定性;與傳統單級放大器相比,此技術不僅可大幅提升輸出功率效率,亦能降低功耗與發熱量,有效延長壽命並減少散熱設計需求。
高動態範圍與線性性能
此機種擁有卓越的 IP2 與 IP3 性能,特別適用於同時需處理極弱 RF 訊號與高強度數位調變訊號的專業應用情境,放大過程中不會造成訊號失真;輸入端整合高通濾波器(High Pass Filter),可強化訊號純淨度,有效濾除低頻雜訊與干擾源。
高負載容忍度設計
內部採用高功率容限的 RF 功率電晶體,對反射功率具有高度容忍力,即便遇到不匹配的負載情況,例如輸出端開路或短路,仍能維持穩定運作,具備高可靠性與防護能力,特別適合變動性高的測試場景。
耐用機構與抗 EMI 設計
外殼採用高強度鋁合金機殼,內部放大模組進一步封裝於CNC 銑削鋁合金殼體中,提供完整的電磁干擾屏蔽,可防止環境中來自其他無線裝置的干擾。前面板配置之 RF 埠為 N 型母頭(N female),方便系統整合與連接。
技術規格

效能



外觀

尺寸

相關產品



