AMP590033-T 桌上型射頻功率放大器
寬頻線性推挽設計,高功率穩定放大解決方案
AMP590033-T 為 Becker 推出之小型化桌上型射頻功率放大器,採用標準 50 Ohm 架構設計,此機種專為實驗室環境中之精密量測與通訊模擬應用打造,具備強固的電氣與機械結構設計,可於長時間操作下仍維持高度穩定性,具備涵蓋多個倍頻的寬頻操作能力,頻率範圍可達 5~900 MHz,適用於多種射頻測試環境。
此放大器支援寬範圍 AC 主電源輸入,前面板設有 LED 指示燈可即時顯示電源狀態,便於現場監控;機體底部另附有安裝腳架,便於桌上擺放與固定操作。
產品特點
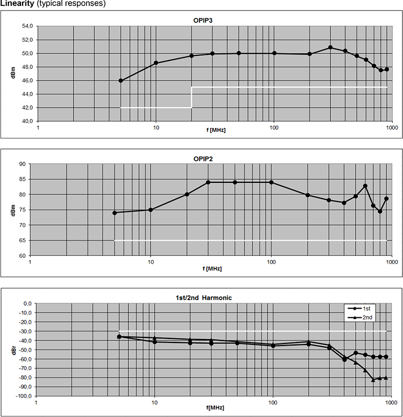
- 典型輸出功率達 +34 dBm,適用於驅動後級功率放大鏈
- 高三階交調點(OIP3)達 +49 dBm(典型值),適合處理高動態範圍訊號
- 內建超低頻抑制濾波器(VLF Suppression Filter),可有效抑制來自訊號源的低頻干擾
- 開路/短路穩定設計,在未匹配負載條件下依然可安全操作
- 支援AC 主電源供應,符合多國實驗室環境供電需求
應用場景
- VHF/UHF 傳輸器驅動級放大
- 功率放大器驅動級(PA Driver Amplifier)使用
- ISM(工業、科學、醫療)頻段應用,如無線模組測試、RF 通訊模擬等
- 實驗室射頻元件與模組測試平台
- 各式射頻測試設備之訊號放大模組

推挽技術
AMP590033-T 內部寬頻放大電路採用推挽(Push-Pull Technology)架構,具備高線性、寬頻操作兩大優勢;相較於傳統單級放大器,此設計可大幅提升功率效率並降低熱能產生,特別適合用於高輸出線性要求之應用場合。
特殊功能
本機種具備極高的二階與三階交調點(IP2 與 IP3)性能,可在同時處理微弱射頻訊號與高功率訊號或數位調變訊號時,仍維持極低失真表現,確保訊號品質穩定;輸入端內建高通濾波器,可有效抑制來自 VLF 與 HF 範圍的雜訊干擾,提升整體動態範圍與系統穩定性。
負載容錯能力強
採用具備高電壓與電流容許裕度的射頻功率電晶體,此放大器可承受一定程度之反向功率輸入,對於輸出端出現不匹配負載(如開路或短路)具備高度容忍力,不易損壞、穩定運作,提高系統整體可靠性。
堅固設計
機體外殼採用鋁合金構造,具備良好散熱與耐用特性,內部放大模組進一步封裝於精密 CNC 銑製鋁合金盒體中,具備優異的 EMI 屏蔽效果,可有效隔絕環境射頻雜訊干擾,前面板射頻接頭採用 N 型母座,機械強度與電氣性能兼具,符合專業測試設備連接需求。
技術規格

效能



尺寸

相關產品




