HA7063A 50GHz 降頻轉換器
即時交叉關聯運算與全頻寬資料擷取
焦點特色
HA7063A 50GHz 降頻轉換器專為 浩茲沃 (Holzworth) HA7062C 和 HA7062D 相位雜訊分析儀設計,為高頻應用提供精確的降頻處理能力。其獨特的設計提供以下優勢:
- 擴充量測範圍至 50GHz,支援更高頻率的相位雜訊測試
- 內建 Holzworth HSX 系列超低雜訊合成器,確保優異的訊號品質
- 支援獨立 AM/PM 量測,提升測試精度與準確性
- 可重新配置的前端架構,滿足不同測試需求
- 提供真實底層雜訊量測,不同於傳統可靠度係數估算方式
- 1U 完全屏蔽無風扇機箱,降低接地回路干擾 (Ground Loop Noise) 與微震動雜訊 (Microphonic Noise),提高重現性
- 相容 HA7062C/D 相位雜訊分析儀,透過 RF 連接與 RS-232 介面實現無縫整合
HA7062D 產品概述
HA7063A 50GHz 降頻轉換器專為 HA7062C 和 HA7062D 即時相位雜訊分析儀設計,能將它們的頻率範圍擴充至 50GHz,使其能夠測試更高頻率的訊號。
此裝置採用 2U 高度、1U 寬度 的機箱設計,占用空間小但效能強大,並可與 HA7062C 或 HA7062D 直接整合,形成一個完整的相位雜訊測試系統,HA7063A 透過前面板的 RF 連接線與後面板的 RS-232 介面與分析儀相連,無需額外的獨立控制,確保操作簡單且設定快速。
使用者只需透過乙太網路、USB 或 GPIB 介面 進行連接,即可透過單一系統介面操作整個測試設備,無需額外調整,讓測試流程更加流暢與高效。

量測底層雜訊
浩茲沃 (Holzworth) 的相位雜訊分析解決方案具備獨特功能,能夠 直接量測 每台相位雜訊分析儀的 真實底層雜訊,而非僅依賴 可靠度係數 (Confidence Factor) 進行估算;傳統方法透過數學模型來推算底層雜訊,然而這種近似值 容易被誤解為實際的底層雜訊,可能影響測試結果的準確性。
為確保量測的高準確度,HA7062C 和 HA7062D 即時相位雜訊分析儀 特別設計 允許 直接存取相位偵測器 (混頻器, Mixer),進行真實底層雜訊的量測,避免僅依賴資料推估;HA7063A 也支援此功能,並可作為 出廠時的可選配置,讓使用者能夠根據需求獲得更準確的測試結果。
無與倫比的模擬性能
HA7063A 採用了 浩茲沃 (Holzworth) HSX 系列超低雜訊合成器,可將輸入訊號降頻至適合相位雜訊分析儀測試的頻率範圍,確保測試結果的準確性。
HA7062C/D 內建 雙 FFT 引擎,可進行 即時相位雜訊分析,但真正影響測試精度的關鍵,在於其 超低雜訊的類比前端設計;分析儀內部配備 兩組 浩茲沃 (Holzworth) HSX 系列 RF 合成器,作為其本地振盪源 (LO),提供 極快且低雜訊的量測能力,進一步提升系統效能。
此外,測試系統還提供 2 組 6GHz 合成器與 2 組 24GHz 合成器,讓使用者能夠靈活運用於各種一般用途測試,滿足不同測試需求。
高重現性量測
浩茲沃 (Holzworth) 的 完全屏蔽無風扇 1U 機箱設計,能有效消除 接地回路干擾 (Ground Loop Noise) 與微振動雜訊 (Microphonic Noise),確保測試結果的穩定性與重現性,不受外部干擾影響;為了展現產品的卓越性能,浩茲沃 (Holzworth) 鼓勵使用者與競爭產品進行頭對頭測試,並提供評測裝置,讓使用者親自驗證其測試精度與可靠性。
架構圖
HA7063A 是 浩茲沃 (Holzworth) 十餘年產品開發與客戶回饋的成果,不僅在 準確性、可靠性與測試速度 上表現卓越,更具備 可重新配置的前端設計,讓使用者能依據 不同測試需求進行客製化調整,提高系統靈活度與適用性。
HA7063A 可與 HA7062C 或 HA7062D 即時相位雜訊分析儀無縫整合,確保最佳測試效能;設備連接方式簡單,前面板透過特定 RF 跳線電纜連接,後面板則使用 I/O 跳線電纜,一旦正確連接,兩台設備即整合為 單一測試系統,並可透過 單一應用 GUI 介面 進行操作,無需額外設定,大幅提升使用便利性與測試效率。

使用 HA7063A 整合套件 時,使用者將獲得 桌上型支架安裝套件 或 通訊機架安裝套件,以確保設備能夠 穩固安裝,並提升 操作便利性與系統整合的靈活性,滿足不同環境的安裝需求。
底層雜訊量測 – 設定
浩茲沃 (Holzworth) 以及部分其他品牌的相位雜訊分析儀提供 交叉關聯可靠度係數 (Cross Correlation Confidence Factor),此係數是基於被測設備 (DUT) 所獲得的資料來 估算底層雜訊;然而,該可靠度係數並不代表儀器的實際底層雜訊,容易被誤解為真實測量值,可能影響測試結果的判讀。
HA7062C 和 HA7062D 測試系統 採用特殊設計,允許 直接存取相位偵測器,確保在 任意頻率點 皆能量測 真實底層雜訊,而非僅透過估算方式得出結果;HA7063A 亦具備此功能,並可作為 出廠選配功能,讓使用者根據需求獲取更精確的測試資料。
在進行 底層雜訊量測 時,系統會 繞過內部功率分配器,讓使用者能直接存取 各頻道的相位偵測器,並對 兩個非相干頻率源 進行測試,以確保測試結果的準確性與可信度。

若 HA7063A 未包含相位偵測器存取選配,浩茲沃 (Holzworth) 將在出廠前,依照 預定的頻率點進行測試,以確保設備的測試精度與穩定性,並提供可靠的量測結果。
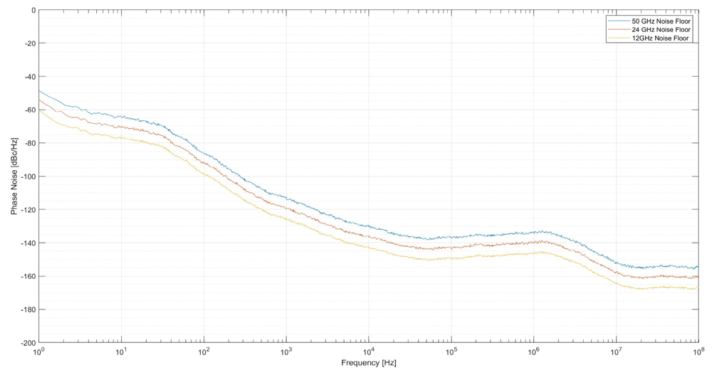
底層雜訊量測 – 實例
這個實例為 HA7063A 與 HA7062C/D 搭配使用 時,在 12GHz、24GHz 和 50GHz 頻率下的 底層雜訊能力;測試結果反映了 10 次交叉關聯計算 所獲得的 實際底層雜訊。
對於 6GHz 以下的頻率,底層雜訊表現將與 HA7062C/D 相同;此外,增加關聯次數 可進一步降低底層雜訊。
資料擷取設定:
- 最小偏移頻率:1Hz
- 每十倍頻範圍的解析度:256 點
不同關聯次數的資料擷取時間如下:
- 1 次關聯:4.3 秒
- 10 次關聯:43 秒
- 100 次關聯:7 分 9 秒
備註:提高最小偏移頻率 或 降低資料解析度,可進一步提升量測速度,提高測試效率。

外部 LO (本地振盪源) 用於降頻 - HA7063A LO 輸入
使用者可將 自有的低雜訊 LO 連接至 HA7063A 的 LO 輸入端,以對 DUT 訊號進行降頻處理,確保訊號落入適當的測試範圍,以便進行精確的相位雜訊分析。


加成模式(Additive Mode)
HA7063A 支援 加成模式 (Additive Mode),允許使用者根據 測試需求,對輸入訊號進行 降頻處理,以便在更適合的頻率範圍內進行精確量測;同時,加成模式確保 最佳的測試精度,並提供更高的 測試靈活度,滿足各種不同應用場景。


技術規格
此規格為 HA7063A 搭配 HA7062C 或 HA7062D 相位雜訊分析系統時的主要技術規格,涵蓋頻率範圍、訊號處理能力、LO 輸入規格、量測解析度及其他關鍵參數。





