運用 R&S Space Nexus 建立衛星訊號衰減情境
概述
近幾年來,為了提供寬頻數據連線,低地球軌道 (LEO) 和中地球軌道 (MEO) 衛星星座的發展速度驚人,隨之而來的是業界也迫切需要動態模擬衛星與地面設備(如手機 UE 或地面站 GS)之間的無線電通道。
衛星通道會受到大氣效應和衛星相對運動的影響,這會導致訊號的頻率和電平(強度)不斷變化,且變化程度取決於衛星在天空中的位置。
因此,對於相關的接收器和其他硬體製造商來說,在設計和生產階段就必須考慮這些效應,才能確保設備具有最佳的性能和可靠度,在這份應用說明中,將重點介紹 R&S Space Nexus 軟體的功能,並解釋如何利用它:
- 根據給定的 TLE(Two-Line Element Set, 兩行軌道參數)檔案,建立衛星軌跡的模擬衰減檔案。
- 解釋如何使用這個檔案,配合配備 R&S SMW-K820 選項的 R&S SMW200A 訊號產生器,來模擬一個真實的衛星衰減情境。
為什麼要模擬衛星通道?
|
技術問題 |
白話解釋 |
|
現實測試不可行 |
在真實的太空環境中測試通訊系統成本太高,後勤困難不切實際。 |
|
衛星通道條件嚴苛 |
衛星通訊會引入多種「干擾」:訊號衰減、延遲、都卜勒頻移、以及干擾,這些都會嚴重影響系統性能。 |
|
LEO/MEO 挑戰性更高 |
LEO 和 MEO 衛星軌道較低,速度更快,因此導致都卜勒頻移變化劇烈且迅速,需要更精密的測試來確保通訊可靠。 |
|
模擬的必要性 |
為了克服這些挑戰,工程師必須在受控的實驗室環境中模擬真實的衛星通道條件,以便在實際發射前測試、驗證並優化系統設計,降低昂貴的返工或任務失敗的風險。 |
測試配置:兩種通道模擬方式
R&S 提供了兩種方法來模擬衛星通道(即射頻衰減)效果:
方式一:
單一儀器 RF 性能測試
- 組成: 只使用 R&S®SMW200A 訊號產生器。
- 流程: 訊號在 SMW200A 內部產生,然後直接在訊號上施加通道模擬效果(例如:模擬都卜勒頻移和衰減),最後將訊號發射給待測設備 (DUT)。
- 用途: 專門用於測試 DUT 的 RF 射頻性能。

RF 性能測試配置
方式二:
端到端 (E2E) 系統測試
- 組成: 結合使用 R&S®SMW200A (訊號產生器) 和 R&S®FSW (頻譜分析儀/數位化儀)。
- 流程: FSW 扮演數位化角色,將發射機的輸出訊號數位化;SMW200A 接收數位化後的訊號,並在上面施加通道參數(即衰減模擬);然後將模擬後的訊號傳輸給接收機。
- 用途: 用於測試整個系統(從發射機到接收機)的 E2E 端到端性能。

端對端 (E2E) 系統測試
此配置的優點包括:
- 在實驗室中模擬各種情境,減少測試時間和成本。
- 提高測試的準確性、可靠性和可重複性。
- 可以產生極端情境,例如:高都卜勒頻移或嚴重衰減的最壞情況。
- 具備高度彈性,可模擬各種情境和訊號。
- 訊號產生器和訊號分析儀可用於其他測試和量測配置。
兩種衛星通道模擬方式差異比較
方式一是測試單一設備在理想化通道下的 RF 能力,方式二是測試整個系統在真實化通道下的整體性能。
|
項目 |
方式一:單一儀器 RF 性能測試 |
方式二:端到端 (E2E) 系統測試 |
|
英文名稱 |
RF Performance Test |
End-to-End System Test |
|
組成儀器 |
僅使用 R&S®SMW200A 訊號產生器 |
使用 R&S®SMW200A + R&S®FSW(分析儀/數位化儀) |
|
測試對象 (DUT) |
單一設備(例如:衛星通訊接收機或 RF 前端模組) |
完整系統(發射機 + 通道 + 接收機) |
|
模擬位置 |
在 SMW200A 內部直接對訊號施加通道效應 |
在數位化後的實際訊號上施加通道模型 |
|
模擬的物理現象 |
著重在硬體前端的射頻性能,都卜勒頻移 (Doppler Shift)、衰減 (Attenuation)、延遲等簡化模型 |
真實鏈路效應 (著重在整個傳輸路徑的行為),包括都卜勒、頻率漂移、非線性、相位雜訊、通道疊加、干擾等 |
|
測試層級 |
RF 層級(Layer 1) |
系統層級(Layer 1–3) |
|
用途與目的 |
驗證接收端 RF 設計的抗衰減能力與頻率容差 |
驗證整個通訊鏈的抗衰減、同步恢復、誤碼率 (BER)、傳輸量等整體效能 |
|
測試複雜度 |
低(單儀器即可完成) |
高(需儀器協同運作與資料回放) |
|
優點 |
成本低、設定簡單、適合開發初期驗證 |
模擬真實衛星通道,能觀察整體系統表現 |
|
缺點 |
無法反映完整鏈路效應 |
成本高、設定複雜、需資料同步與時間對齊 |
背景知識
衛星軌道
軌道是物體環繞天體運行的軌跡,在衛星通訊 (SatCom) 中主要使用三種軌道:GEO、MEO 和 LEO,每種軌道都有其優缺點,以下是三種軌道的最重要特性比較表:
|
特性 |
GEO |
MEO |
LEO |
|
高度 (Hight) |
35,786 km |
5,000 – 12,000 km |
200 – 2,000 km |
|
傳播延遲 (單程) |
120 ms |
40 ms |
5 ms |
|
可見時間 (Visibility) |
永遠可見 |
2 – 4 小時 |
< 15 分鐘 |
|
軌道週期 |
24 小時 |
5 – 12 小時 |
1.5 – 5 小時 |
|
最大都卜勒頻移 (30 GHz) |
可忽略 |
592 kHz |
802 kHz |
其他軌道也包括高橢圓軌道 (HEO)、地球同步軌道 (GSO) 和極低地球軌道 (VLEO)。
衛星通道傳播
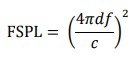
描述兩個物體之間通道傳播的最基本方式是自由空間路徑損耗 (FSPL),由於發射器和接收器之間的距離極遠,FSPL 也是衛星通訊中最大的影響因素。
自由空間路徑損耗 (FSPL) 公式:

- d:斜距 (Slant Range),即衛星與使用者設備 (UE) 之間的直接距離。
- f:發射訊號的頻率。
- c:光速。
由於 d(斜距)在衛星的飛行軌跡中是持續變化的,因此必須針對每個時間點重新計算 FSPL。
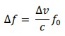
都卜勒頻移 (Doppler Shift)
另一個主要影響因素是衛星與使用者終端之間相對運動所產生的都卜勒頻移,應施加於訊號的都卜勒頻移可透過以下公式計算:

- Δf:發射頻率 f₀ 與觀察到的頻率之間的差異。
- f₀:發射頻率。
- Δv:衛星與使用者終端沿著連接兩者的直線方向的相對速度(稱為徑向速度)。
- 當 Δv 為正(都卜勒頻移為正)時,表示發射器和接收器相互靠近。
- 當 Δv 為負(都卜勒頻移為負)時,表示發射器和接收器相互遠離。
此公式對於衛星通訊至關重要,因為它允許調整接收到的訊號頻率,以應對相對運動的影響,從而確保準確的訊號處理和通訊。
環境效應與延遲
環境效應:
此外,雨、霧和大氣氣體等環境效應會進一步衰減訊號,例如:暴雨會導致無線電波產生顯著的散射和吸收,尤其是在較高頻率時,進而增加路徑損耗,R&S Space Nexus 軟體可以納入考慮這些環境條件的模型,以便更準確地預測訊號衰減。
訊號延遲 (Latency)
延遲是另一個關鍵考量因素,延遲產生於訊號從 UE 傳播到衛星再傳回地面所需的時間,以及衛星和地面站點的任何額外處理延遲。
- 重要的是要分析到選定衛星的直接延遲,以及包含整個通訊路徑(可能涉及多個星際鏈路 (ISL) 跳轉)到達地面閘道 (Gateway) 的總延遲。
- 透過精確地建模訊號延遲,系統可以提供對不同運行情境下衛星通訊鏈路性能的實際洞察,有助於網路資源的規劃與優化。
功能概覽
R&S Space Nexus 軟體提供以下核心功能,讓您能從軌道數據建立逼真的衛星通訊通道:
- 衛星選擇與視覺化:
使用者可以選取並查看 TLE 檔案中包含的衛星,輕鬆存取相關的軌道數據。 - 可見性分析:
軟體能判斷在特定使用者設備 (UE) 的位置或軌跡下,哪些衛星是可見的,它還會提供每顆衛星的可見持續時間,有助於有效規劃通訊鏈路。 - 通道條件建模與計算:
軟體能模擬並計算各種通道條件,包括:大氣衰減、障礙物造成的路徑損耗等環境效應,它也會納入訊號路徑延遲,讓您能全面了解這些因素如何影響訊號品質。 - 通道參數設定與繪圖:
在產生衰減檔案前,使用者可以設定並繪製相關的通道參數,確保所有通訊情境都被準確呈現。 - 衰減檔案創建:
軟體最終會產生衰減檔案,供 R&S®SMW200A 訊號產生器搭配 R&S®SMW-K820 選項使用,以便在各種條件下模擬逼真的訊號傳播與性能。
SMW-K820 選項的功能限制
此功能讓 R&S®SMW200A 能進行自定義動態衰減模擬,其能力包括:
- 支援的頻率高達 67 GHz。
- 衰減的頻寬最高可達 200 MHz。
- 可施加於訊號的最大都卜勒頻移為 1.953 MHz。
- 最大路徑延遲為 1 秒。
- 兩個衰減取樣點之間的最短時間解析度為 50 µs。
安裝指南
目前,R&S Space Nexus 軟體只是 R&S 的非官方產品,因此不提供錯誤修復或其他額外的技術支援。
下載與安裝
- 您可以在 R&S SalesWeb 的「SMW -> Application and Solutions -> Application Notes」下,以 ZIP 檔案的形式下載。
- 請聯繫奧創系統以取得軟體存取權限。
- 下載後,請解壓縮 ZIP 檔案,然後導航到 exe.win-amd64-3.8 資料夾,點擊該資料夾內的 .exe 執行檔即可啟動程式。
- 您不需要其他額外的程式或檔案。此軟體僅支援 Windows 系統。
R&S Space Nexus 的使用方法

R&S Space Nexus 介面一覽
R&S Space Nexus 軟體的介面分成四個主要區塊:
- 衛星星座 (Satellite Constellation):
用於下載、選擇和顯示 TLE 檔案中包含的所有衛星軌道。 - UE 屬性與運動 (UE Properties and Motion):
用於手動或透過 GPX 檔案定義 UE 的位置和移動方式,並查看可見的衛星。 - 通訊 (Communication):
用於選擇傳輸特性,繪製傳播參數,並匯出衰減檔案給 SMW200A 訊號產生器使用。 - 移動中的衛星 (Satellite in Motion):
視覺化衛星相對於 UE 的運動,但本應用說明不包含此部分。
衛星星座

R&S Space Nexus 衛星星座介面
這個區塊主要用於管理TLE 檔案,因為特別是 LEO 衛星的 TLE,其準確性在 24 小時後就會下降。

TLE 資料下載介面
|
功能 |
說明 |
|
下載最新 TLE 檔案 |
軟體提供簡單勾選 Globalstar 和 Starlink 星座的選項,點擊 Refresh 即可從網路下載最新的 TLE 檔案。 |
|
TLE DL Tool (下載器) |
開啟 TLE 數據下載器,可以從特定網站下載其他星座的 TLE 檔案,並支援關鍵字篩選 (Filter by keywords),只下載包含特定關鍵字的衛星數據。 |
|
軌道視覺化 |
使用者可以選擇要用的 TLE 檔案,設定 當前時間 (Current Time),並選擇顯示過去或未來的軌跡(Past Minutes / Future Minutes),並透過 Plot Orbits 繪製 2D 或 3D 軌道圖。 |
UE 屬性與運動
此區塊用於定義使用者設備 (UE) 的位置和移動,並執行可見性檢查。
手動輸入 (Manual Entry)

手動輸入介面
|
參數 |
說明 |
|
位置 |
手動輸入 UE 的緯度、經度和高度。 |
|
仰角 (Elevation Angle) |
設定衛星被視為可見的最小角度(介於 1° 和 85° 之間)。 |
|
情境參數 |
設定模擬的持續時間 (Motion Duration) 和起始時間 (Time)。 |
|
運動 |
設定 UE 的移動速度 (Speed) 和方向 (Direction)。 |
匯入 GPX (Import GPX)
匯入 GPX 的介面
- GPX (GPS Exchange Format) 檔案: GPS 交換格式檔案,用於描述由多個路徑點組成的軌跡。
- 功能: 允許使用者匯入 GPX 檔案來定義 UE 的移動軌跡,而不必手動輸入。使用者可以透過 Visit OnTheGoMap 開啟網頁工具來建立 GPX 檔案。
6.2.3 可見性檢查 (Visibility Check)
此功能用於檢查在給定的 UE 位置和軌跡下,哪些衛星是可見的,並提供相關統計資訊:

能見度檢查範例:顯示衛星與地面站(或使用者終端)之間可見性(Visibility),用來判斷在特定時間內,衛星是否位於地面站的「可視範圍(line-of-sight)」之內。

能見度動畫範例,通常在模擬軟體(如 STK、GMAT、Orekit)中,用於視覺化衛星在軌道上移動時,哪些區域或地面站可以與其通訊。
|
檢查項目 |
說明 |
|
Visibility only at the current time |
勾選後只顯示起始時間點可見的衛星,未勾選則顯示整個情境持續時間內所有曾出現的衛星。 |
|
Check Visibility and Plot |
執行可見性檢查,並將 UE 位置和可見衛星繪製在世界地圖上。 |
|
Visibility Animation |
創建一個 10 分鐘的可見衛星動畫,但對於大型星座不建議使用。 |
|
Stats |
顯示在 UE 位置可見的所有衛星的可見時間、開始時間和停止時間等詳細數據。 |
|
Plots |
繪製在整個定義持續時間內,每個時間點可見衛星的數量圖表。 |
|
Selection Button |
用於選擇要模擬其通道條件的目標衛星。 |
通訊 (Communication)

R&S Space Nexus 通訊區塊介面
通訊區塊允許使用者設定衛星通訊的發射和通道參數,繪製結果並最終匯出 .fad_udyn 衰減檔案供 R&S®SMW-K820 訊號產生器使用。
核心參數配置
|
參數 |
目的與作用 |
白話說明 |
|
Transmit Frequency |
發射頻率:設定訊號的實際操作頻率(GHz)。 |
決定訊號是在哪個頻段上傳輸。 |
|
Time Step |
時間步進:設定連續衰減值之間的取樣間隔,最小可設為 R&S®SMW-K820 要求的 50 µs。 |
決定模擬的精細度,時間步長越小,模擬越精確。 |
|
Pathloss offset |
路徑損耗偏移:設定一個 dB 值,從總衰減中減去。 |
由於 LEO 衛星傳輸損耗可能超過 200 dB,但硬體只能模擬最大 50 dB 的衰減,因此需要透過此偏移量來縮放實際損耗,使模擬能被硬體接受。 |
|
CL / SF |
叢聚與陰影衰減:設定 CL(非視距損耗)和 SF(因障礙物產生的訊號波動)的 dB 值。 |
模擬訊號被建築物或樹木遮擋、阻礙的真實環境效應。 |
|
DTC |
直接對街基地台:移除都卜勒效應。 |
模擬再生酬載架構:假設衛星端已經完成都卜勒預補償,因此只須測試訊號延遲和路徑損耗。 |
|
Wide BW Doppler |
寬頻都卜勒:啟用後,最大都卜勒頻移可從 190 kHz 提升至 1.953 MHz。 |
模擬極速飛行的 LEO 衛星所需的極端都卜勒頻移。 |
|
DL/UL |
切換下行或上行鏈路。 |
影響文件命名,並在選擇 Use Shortes Path to Gateway for Latency 時,會影響延遲計算。 |

電波傳播參數圖:顯示衛星訊號在空間傳播過程中各種參數變化的圖表,用來分析通訊鏈路(Link)或無線訊號在傳輸路徑上隨時間或距離的特性。
輸出與工具
- Generate Plots: 繪製所有傳播參數隨時間變化的圖表,包括都卜勒頻移、衛星高度、仰角和延遲等。
- Export Fading Data: 產生 .fad_udyn 衰減檔案,供 SMW200A 載入使用。
- Link Budget Configurator (LB Configurator): 打開鏈路預算配置器,用於定義詳細的傳輸參數(如發射功率、天線增益、接收靈敏度)以及環境衰減參數(如雨衰、雲衰),並動態計算所有衰減值。
- Multihop ISL Path Modeling (多跳 ISL 路徑建模): 打開衛星路徑延遲模擬器,用於模擬涉及星際鏈路 (ISL) 的端到端延遲。
CL & SF 情境選擇

CL & SF 情境選擇介面
此工具讓使用者能依照 5G NTN 3GPP TR 38.811 標準,輕鬆選擇 CL (Clutter Loss) 和 SF (Shadow Fading) 參數,使用者只需選擇基地情境 (Select Scenario)、傳輸頻段 (Select Band)、仰角,以及是視距 (LOS) 或非視距 (NLOS) 傳輸,軟體即可計算出對應的 CL 和 SF 數值。
鏈路預算配置器 (Link Budget Configurator)

鏈路預算配置器
此工具允許使用者定義大量衛星通道的特定傳輸參數,其目的是將所有可能的損耗和增益都納入考量,以進行最真實的通道模擬,它涵蓋了:
- 基本參數:頻率、仰角、經緯度、高度、斜距。
- 硬體增益/損耗:發射功率、接收機靈敏度、衛星和 UE 的天線增益、極化失配損耗。
- 大氣與環境效應:
- 雨衰:配置降雨率情境(如大雨、小雨),以及發生機率。
- 雲衰與閃爍: 配置氣壓、溫度、水蒸氣情境等。
使用者點擊 Calculate Link Budget 後,所有這些參數都會被動態計算,並作為通道模擬的基礎。
衛星路徑延遲模擬器 (Satellite Path Delay Simulator)

衛星路徑延遲模擬器
此工具專門用於模擬包含 ISL(星際鏈路)的多跳延遲。
- 目的: 模擬 UE 與地面閘道 (Gateway) 之間,訊號經過多顆衛星傳輸時的總延遲。
- 運作方式:
- 將星座中的每顆衛星視為一個網路節點 (Node)。
- 計算所有衛星之間的距離和相應的訊號延遲。
- 利用路徑尋找演算法(可設定鄰居數量 K Neighbors),找出 UE 到地面閘道之間的最短路徑。
- 輸出: 軟體會繪製最短路徑的延遲隨時間變化圖,以及一張顯示訊號在每個時間步長所走 ISL 路徑的地圖。
- 應用: 一旦計算完成,勾選 Use Shortest Path to Gateway for Latency,即可將這個動態計算出來的最短延遲用於通道模擬。

UE 到 Gateway 的 ISL 傳輸路徑
移動中的衛星 (Satellite in Motion)

移動中的衛星匯出介面
此區塊用於匯出衛星相對於 UE 的軌跡數據,主要用於其他應用程式,例如將衛星的 ENU(東、北、上)數據匯出為 .csv 檔案,在本應用說明中,此功能不相關,因此不提供進一步解釋。
運用 R&S®SMW200A 建立衛星衰減情境
最低設備配置
進行衛星通道模擬需要 R&S®SMW200A 具備特定的硬體選配,特別是 R&S®SMW-K820 (客製化動態衰減)。
|
項目 |
標準 R&S®SMW200A (Standard) |
寬頻 R&S®SMW200A (Wideband) |
|
核心配置 |
SMW-B13/B13T, SMW-B10, SMW-B14 |
SMW-B13XT, SMW-B9, SMW-B15 |
|
必要選項 |
R&S®SMW-K71 (進階定時), R&S®SMW-K820 (客製化動態衰減) |
R&S®SMW-K71, R&S®SMW-K820 |
|
最大頻寬 |
160 MHz |
200 MHz |
|
最大路徑延遲 |
671 ms |
1073 ms (1.073 秒) |
|
最大都卜勒 |
190 kHz |
1.953 MHz |
手動載入衰減檔案
要使用 Space Nexus 產生的衰減檔案,需將 SMW200A 切換到 "Advanced Mode",然後在 "Fading" 區塊中選擇 "Customized Dynamic" 配置。
- 在 "Path Table" 標籤中,選擇所需的 .fad_udyn 衰減檔案。
- 建議: 建議使用 Path 2 作為視距 (Line of Sight) 通道,並使用 Path 7 和 8 來模擬任何多路徑 (Multipath) 情境。
直接匯入衰減檔案
R&S Space Nexus 提供一個便捷的 "Transfer to VSG" 功能,可以直接將衰減檔案傳輸到 SMW200A。

SMW 檔案傳輸工具
- 所需條件: 您的 PC 上必須安裝 R&S®VISA SW 軟體。
- 流程: 點擊 "Transfer to VSG",輸入 SMW 的 IP 位址和目標文件路徑。
- 自動化: 點擊 "Transfer File" 完成檔案傳輸後,點擊 "Set Custom Dynamic Fading" 按鈕會自動將 SMW200A 的所有參數設定為符合該衰減檔案的要求。
模擬範例
這裡展示了一個模擬 Starlink 星座的具體案例:
- 情境設定: 選擇一個靜止在慕尼黑的 UE 位置。
- 衛星選擇: 選取一顆從該位置可見性良好的 Starlink 衛星。
- 通訊配置: 選擇一個簡單的配置,發射頻率為 35 GHz。
- 結果: 將產生的衰減檔案載入到 SMW200A 的 CDF 功能中。
- 量測: 使用 SMW200A 產生一個 DVB-S2X 16 APSK 訊號,並將輸出訊號連接到 FSW 頻譜分析儀進行分析。

可視化 Starlink LEO 星座的衛星分布與軌道配置的圖表

選擇一個莫尼黑上空的衛星

在發射頻率為 35 GHz下的範例
在 FSW 上,可以清楚地觀察到由衛星快速移動所引起的都卜勒頻移,它以「載波頻率誤差 (Carrier Frequency error)」的形式呈現出來。

SMW200A 與 FSW 的模擬範例
延伸閱讀
從地面到軌道:5G 衛星通訊 HIL 測試的關鍵技術
接收器與 LNB 特性測試 — 升級衛星與雷達產業應用
高功率放大器測試:實現雷達、衛星與 5G 應用的真實條件特性分析
衛星通訊應用新藍圖 (LEO/NTN/高頻段) 與實現關鍵
資源下載
ACE9600 產品型錄
R&S®SMW200A 產品型錄
R&S®FSW 產品型錄
衛星通道模擬解決方案
5G NTN 鏈路模擬與硬體迴路 (HIL) 測試解決方案