射頻屏蔽攻略:從基本概念到實戰應用,掌握 EMI & EMC 抑制技術!
初步了解射頻屏蔽的基本概念
在所有電路中,都會產生與之相關的電場與磁場(E&M fields),包括電纜、導線佈局、元件和電路的物理外殼,這些電磁場可能會相互影響,進而導致元件之間產生不必要的干擾,例如,變壓器透過磁場將一種電壓轉換為另一種電壓,以提供電路所需的電能,然而,如果未進行適當的屏蔽,該磁場可能會影響附近的訊號線,導致不必要的干擾。
要描述射頻屏蔽(RF Shielding),需要結合電磁場(E&M fields)的一些基本概念,以及它們在集中元件模型(Lumped Element Model, LEM)中的對應關係:電場(Electric Fields)可視為電容(Capacitors),磁場(Magnetic Fields)可視為電感(Inductors),而能量的損耗則對應於電阻(Resistors)。
在最基本的情況下,當一條導體的兩端施加電位差(電壓)時,導體內部會產生電流流動,而這個電流會在導體周圍產生磁場(B)。
磁場會向外擴散,並圍繞導體形成環狀結構,其方向可透過「右手定則(Right-Hand Rule)」來判斷,當右手大拇指指向電流流動方向時,手指環繞導體的方向即為磁場的方向。
與此同時,導體周圍會存在由外部電源(如電池、交流電源、或訊號產生器)產生的電場(E),這個電場的主要作用是將能量從外部電源傳遞至電路內的各個元件,例如電阻(Resistors)、電容(Capacitors)和電感(Inductors)。
電場的分佈形狀受到導體與電路元件的物理特性和尺寸影響,即使電路未閉合(Closed Circuit),仍然可能發生能量傳輸,導致電路如天線般運作,進而產生電磁干擾(Electromagnetic Interference, EMI)或接收來自外部的電磁相容(Electromagnetic Compatibility, EMC)場。
有趣的是,電流的流動方向與導體內電子的實際運動方向相反,此外,在導體內,只有極少數電子參與電流的形成,而大部分電子則因熱運動呈現隨機移動的狀態。
舉例來說,當電池為銅導體電路供電時,電子從電池負極移動至正極的速度僅約 0.025 mm/秒,這是一個極其緩慢的速度;而在 60Hz 的交流電流中,電子僅會在 0.2 微米(μm)範圍內來回振盪,當頻率提升至微波(Microwave)範圍時,電子的移動距離甚至小於銅導體原子核的直徑。
能量的傳遞過程,實際上是透過電池、交流電源或訊號產生器產生的電磁場,與電子(電流)相互作用來完成的,這種描述電路運作的方式,有助於理解如何透過射頻屏蔽(RF Shielding)來降低 EMI(電磁干擾)與 EMC(電磁相容性)問題。
✔ 電場像水壓,電流像水流
✔ 電子本身移動得很慢,但電場影響很快
✔ 電場才是負責快速傳遞能量的關鍵!
✔ 未閉合的電路仍可能產生能量洩漏,就像漏水一樣
✔ 射頻屏蔽可以阻擋不必要的干擾,確保電路運作穩定
射頻屏蔽(RF Shielding)的目的與作用
當電子設備運行時,電路內的電場(Electric Field) 和 磁場(Magnetic Field) 可能會相互影響,導致訊號雜訊、訊號衰減,甚至影響其他元件的正常運作;因此,射頻屏蔽(RF Shielding) 的核心目標是控制電場與磁場的擴散,防止內部與外部的電磁干擾(EMI)影響電路的穩定性。
一種簡單且有效的屏蔽方法 是在 印刷電路板(PCB)上設置屏蔽導電隔間(shielded conductive compartments),將關鍵區域的電磁場局限於特定範圍,避免影響其他電路區域。
這些 屏蔽罩的邊緣 通常設計有 導電墊圈與凹槽,確保與 PCB 之間的連續電接觸,進一步提升屏蔽效果;然而,在 金屬外殼的製造過程中,即使表面看似平整,接觸面之間仍可能存在微小縫隙,這些縫隙的大小可能與電子在交流電(AC)或訊號產生器作用下的移動距離相當,導致電磁場「洩漏」,進而造成訊號衰減。
如果電路的其他部分設計良好,則 RF 屏蔽可針對特定的敏感區域進行局部保護,在不影響整體設計的前提下,有效降低電磁干擾問題。
導線與訊號佈線探討
導體、元件和外殼的佈局可能會相互影響,進而引發電磁干擾(EMI) 和 電磁相容性(EMC) 問題,為了降低這些風險,在設計初期 使用設計工具來預測導線間距、佈線方式,並在電纜佈線中加入明確定義的接地層(Ground Plane),能有效減少 EMI 和 EMC 的影響,提升電路的穩定性與可靠性。
降低電磁干擾(E&M Interference) 並提升電磁相容性(EMC Compatibility) 的一種低成本且有效的方法是將導線成對絞合(Twisting Wire Pair),當兩條導線中的電流(I)流動方向相反時,會產生各自的磁場(B1 和 B2),這些磁場會相互影響,進而形成殘餘磁場(B3)。
根據右手定則(Right-Hand Rule),當右手大拇指指向電流流動方向時,手指纏繞導線的方向即為磁場的方向,因此,在導線絞合的部分,磁場會相互抵消或排列成特定方向;然而,這些殘餘磁場可能會導致導線之間產生串擾耦合(Crosstalk Coupling),進而影響外部訊號的品質,導致雜訊干擾或訊號衰減;因此,透過適當的絞線設計,可以有效降低這類干擾問題,確保訊號的穩定性。

透過將導線絞合(Twisting),殘餘磁場會沿著導線產生交替變化,並被限制在導線附近,從而顯著降低相鄰導線的串擾干擾(Crosstalk Interference);由於在導線的每半圈(Half Turn) 內,會產生相等且方向相反的磁場,這些磁場在短距離內會相互抵消,因此相鄰導線接收的串擾(Crosstalk Pickup) 會大幅減少,進一步提升訊號的穩定性。

此外,藍色標示的電場(Electric Field) 也會被限制在雙絞線(Twisted Pair) 附近,當電場在導線表面形成時,會產生相反的電荷,從而增加雙絞線的總電容(Capacitance);同時,磁場在導線內部會抵抗電流流動,因此雙絞線的佈局會額外增加電感(Inductance),這些特性有助於提升訊號完整性,降低外部電磁干擾(EMI),並提升電路的電磁相容性(EMC)。
透過調整雙絞線的纏繞密度(Pitch) 及導線之間的間距(Separation),可以精確控制 訊號的 頻寬(Bandwidth)、間距(Spacing) 以及 衰減(Attenuation),從而讓雙絞線適應不同的系統設計需求。
-
增加纏繞密度(縮短 Pitch):可提升抗干擾能力,降低串擾,但可能增加電容,影響高頻特性。
-
調整導線間距(Separation):影響特性阻抗(Impedance),進而影響訊號完整性和傳輸距離。
-
優化頻寬與衰減:根據應用需求選擇適當的絞合方式,以平衡抗干擾能力與訊號品質。
適當的雙絞線設計有助於提升訊號傳輸穩定性,降低電磁干擾(EMI),並確保良好的電磁相容性(EMC)。
下載 非平衡雙絞線計算器(Unbalanced Twisted Pair Calculator) 來計算非平衡雙絞線的等效電容(Capacitance)、電感(Inductance)和阻抗(Impedance)。
鐵氧體(Ferrites)- 探討圓柱管與環形磁芯作為降低電纜雜訊的方法
鐵氧體是一種陶瓷材料,主要由氧化鐵(Iron Oxide) 與 錳(Manganese)或鎳(Nickel)加上鋅(Zinc) 混合而成,具有獨特的磁性特質,可用於抑制電磁干擾(Electro-Magnetic Interference, EMI),並提升電磁相容性(Electro-Magnetic Compatibility, EMC)。
鐵氧體陶瓷可被製成多種不同形狀,以適應各種應用需求,常見的類型包括:
✔ 板狀(Plates)— 適用於平面式屏蔽或電路板應用
✔ 圓柱管狀(Cylindrical Tubes)— 常用於電纜線過濾與抑制干擾
✔ 環形磁芯(Circular Toroids)— 用於電源濾波與訊號完整性保護
本節將探討如何透過圓柱管與環形磁芯來降低電纜中的雜訊,並改善電路的抗干擾能力。

基本運作原理(Basic Theory of Operation)
在使用鐵氧體(Ferrite) 時,需要參考其規格書(Datasheet),以確保選擇適合特定頻率範圍的材料,由於鐵氧體的設計針對特定頻率範圍運作,因此在安裝於電路前,規格書是選型與設計的重要工具;此外,鐵氧體的飽和磁化強度(Saturation Magnetization) 受 電流與溫度 影響,這可能會導致其 阻抗(Z)下降,影響抑制電磁干擾(EMI)的效果。
繞線圈數對鐵氧體效能的影響(1 Turn, 2 Turns, 3 Turns…)
當導線穿過鐵氧體內部時,其 衰減效果(Attenuation) 會隨著阻抗(Z)、電阻(R)和電抗(X) 的增加而提升。
繞線圈數(Turns)計算方式:
在 環形磁芯(Toroid) 中,計算圈數時,只計算穿過磁芯中心的導線數目,而磁芯外部的繞線則不計算在內。
繞線圈數對電感值(Inductance, L)的影響:
✔ N=2(兩圈) —— 電感量為單圈(N=1)的 4 倍(N² = 4)
✔ N=3(三圈) —— 電感量為單圈(N=1)的 9 倍(N² = 9)
因此,增加繞線圈數可以大幅提升鐵氧體的電感與衰減能力,從而更有效地抑制電磁干擾(EMI)和降低訊號雜訊(Noise)。

穿過鐵氧體核心中心的 2 圈導線

穿過鐵氧體核心中心的 3 圈導線

環形磁芯周圍纏繞的導線束特寫
除了單根導線外,電纜內的導線束(Wire Bundles) 也可以與鐵氧體結合使用,以抑制共模訊號(Common Mode Signals),這對於電源線、傳輸線和高頻訊號傳輸 特別有幫助,可顯著降低外部干擾對系統的影響,提高訊號完整性(Signal Integrity)。
從阻抗與頻率圖推導等效電路
當確定了操作頻率點的阻抗後,我們可以計算負載(Zl)對干擾訊號(Vin)的衰減量。

簡化的等效電路(Simplified Equivalent Circuit)

阻抗對衰減的影響(Impedance to Attenuation)
串聯鐵氧體磁芯以增加衰減效果(All in a Row…)
當電纜尺寸無法允許多圈繞過鐵氧體時,可以透過串聯多個鐵氧體磁芯來增加衰減效果。
✔ 增加鐵氧體的數量具有「累加」效果,即每增加一個鐵氧體,總體的衰減能力會隨之提升。
✔ 但同時,這也會導致整體頻率頻寬(Frequency Bandwidth)下降,因此在設計時需要權衡衰減效果與訊號頻寬的需求。
鐵氧體電感值與導線繞組數的關係
電感值(Inductance, L) 與 繞線圈數(Turns, N) 之間呈線性關係:
-
1 圈 = L
-
2 圈 = 2 × L
-
3 圈 = 3 × L
這表示,每增加一圈繞線,電感值將成比例增加,從而提升對電磁干擾(EMI)和共模雜訊(Common Mode Noise)的抑制能力。
導線束的共模雜訊抑制
✔ 單根導線與導線束的處理方式相似,但導線束中的多條導線可能會相互影響,增加噪訊干擾的風險。
✔ 環形磁芯(Circular Toroid) 可有效抑制 共模雜訊(Common Mode Noise),特別適用於電源線、訊號線 或 高頻傳輸線,確保訊號完整性。
當單個鐵氧體無法滿足需求時,使用多個磁芯或適當的繞線設計,可以進一步提升抗干擾能力,確保系統的電磁相容性(EMC)。

單圈導線穿過三個鐵氧體磁芯(Single Turn going through Three Ferrites)

環形磁芯上纏繞 12 圈導線束的示例(Three Wire Bundle with 12 Turns around Circular Toroid)
實例計算(Example Calculation)
假設我們測得一條 乙太網路電纜(Ethernet Cable) 在 60MHz 頻率下產生了一些雜訊,並希望將其衰減 12dB。
從規格書或測試結果可得知,該乙太網路電纜在 60MHz 的阻抗為 300Ω,而鐵氧體的阻抗(Z)為 240Ω。
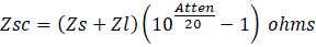
重新排列衰減公式並求解 Zsc,得到:

Zs(信號源阻抗) 和 Zl(負載阻抗) 設為相等,以實現最大功率傳輸:

鐵氧體的阻抗(Zsc)和負載(Zl)組成了一個分壓電路,可衰減不需要的訊號。
提高鐵氧體的阻抗有兩種方法:
-
讓乙太網路電纜多次穿過鐵氧體磁芯
-
在電纜上串聯多個鐵氧體
在 線性串聯情況(Ferrites in Series) 下,至少需要 7 至 8 個鐵氧體磁芯 才能達到目標阻抗:
-
7 個鐵氧體:7 × 240Ω = 1680Ω(約 11.59dB 衰減)
-
8 個鐵氧體:8 × 240Ω = 1920Ω(約 12.46dB 衰減)
若乙太網路電纜可繞過 環形磁芯 3 圈,則僅需 1 個磁芯 即可達到相同的衰減效果:
-
N = 3,其阻抗計算為 N² × 240Ω = 2160Ω(約 13.25dB 衰減),並且只需 使用一個磁芯。
可用的解決方案(What can be used)
當發現某個電纜組件導致 EMI 或 EMC 問題時,可安裝 分裂環形鐵氧體(Split Ring Ferrite) 進行補救。
在使用時,應確保分裂環形磁芯 正確夾緊,以免磁芯內部存在空隙,降低磁化效能。

KEMET ESD-SR-100 分裂環形鐵氧體(Split Ring Ferrite)
實際應用(What it Looks Like in Practice)
目前市面上有大型的環形磁芯(Circular Toroids),可用於配備體積較大的轉接頭與連接器的電纜,其內徑(Inner Diameter)足夠讓電纜端部穿過內環;此外,扁平排線(Flat Ribbon Cables) 也可以纏繞在環形磁芯內,以提升屏蔽效果。

單圈導線束穿過鐵氧體磁芯(One Turn Wire Bundle inside Ferrite Core)

七圈導線束纏繞環形磁芯(Seven Turns of a Wire Bundle around Circular Toroid)